环氧树脂地坪的发展历史及应用
在19世纪末和20世纪初有两个重大的发现,揭示了环氧树脂地坪的合成发明的序幕。早在1891年,德国化学家Lindmann采用对苯二酚与环氧氯丙烷反应,可以得到树脂状的产物。
1909年俄国化学家Prileschajew发现采用过氧化苯甲酰可使烯烃氧化生成环氧化合物。时至今日,这两个反应依然是环氧树脂地坪的主要合成路线,但是它的使用价值没有被揭示。
环氧树脂地坪的真正研究是从20世纪30年代开始的,1934年德国的Schlack首先用胺化合物使含有大于一个环氧基的化合物聚合制得高分子聚合物,并由I.G.染料公司作为德国的专利发表。因第二次世界大战而未能在美国取得专利权。
随后,瑞士的PierreCastan和美国的S.O.Greelee所发表的多项专利都揭示了双酚A和环氧氯丙烷经缩聚反应能制得液体环氧树脂地坪,用有机多元胺和二元酸均可使其固化,并且具有优良的粘接性。
这些研究成果促使了美国DeVoe-Raynolds公司在1947年进行了第一次具有工业生产价值的环氧树脂地坪制造,并且指出在一些特殊领域它是一种性能优于酚醛和聚酯的新型树脂。
不久,瑞士的Ciba公司、美国的Shell以及DowChemical公司都开始了环氧树脂地坪的工业化生产及应用开发工作。当时环氧树脂地坪在金属材料的粘接和防腐涂料等应用方面已有了突破,于是环氧树脂地坪作为一个行业蓬勃地发展起来了。
环氧树脂地坪大规模生产和应用还是从1948年以后相继开始的。1955年,四种基本环氧树脂地坪在美国获得了生产许可证。DowChemical公司建立了环氧树脂地坪生产线。由于它具有一系列优良的性能,所以在工业上发展很快,不仅产量迅速增加,而且新品种不断涌现。
环氧树脂地坪的分类
环氧树脂地坪的种类很多,且在不断地发展,因此,明确地进行分类是困难的。按化学结构分类在类推固化树脂的化学及力学性能研究等方面是便利的。
环氧树脂按化学结构分类
环氧树脂地坪按化学结构可大致分为以下几类。
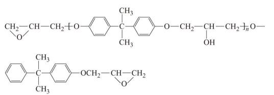
(1)缩水甘油醚类其中的双酚A缩水甘油醚树脂简称为双酚A型环氧树脂地坪,是应用最广泛的环氧树脂地坪,其化学结构式为:

双酚F型环氧树脂地坪,其化学结构式为:

双酚S型环氧树脂地坪,其化学结构式为:

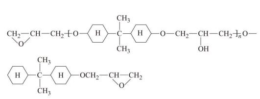
氢化双酚A型环氧树脂地坪,其化学结构式为:

酚醛型环氧树脂地坪,其化学结构式为:

脂肪族缩水甘油醚树脂,其化学结构式为:

溴代环氧树脂地坪,其化学结构式为:

(2)缩水甘油酯类邻苯二甲酸二缩水甘油酯等,其化学结构式为:
(3)缩水甘油胺类其通式为:
其中四缩水甘油二氨基二苯甲烷结构式为:

(4)脂环族环氧树脂地坪其化学结构式为:
(5)环氧化烯烃类其化学结构式为:
(6)新型环氧树脂地坪
海因环氧树脂地坪,其化学结构式为:

酰亚胺环氧树脂地坪,其化学结构式为:

含无机元素等的其他环氧树脂地坪,如有机硅环氧树脂地坪以及有机铁环氧树脂地坪等。
环氧树脂按状态分类
在实际使用上,按在室温条件下所呈现的状态来分类是很重要的。这样环氧树脂地坪可分为液态环氧树脂地坪和固态环氧树脂地坪。属于液态环氧树脂地坪的仅仅是一小部分低分子量树脂,如通用型DGEBA,n值为0.7以下,在室温下呈现为黏稠的液体,作为无溶剂成膜材料使用的就是此类环氧树脂地坪。固态环氧树脂地坪通常以薄片状来使用。此处所说的固态环氧树脂地坪不是B阶段化树脂,脂,这类树脂供粉末涂料的黏料和固态成型材料使用。
环氧树脂按制造方法分类
①由环氧氯丙烷与相应的醇、酚、酸、酸缩合而成,如所述的前三类属于此类。
②由过氧酸(通常用过乙酸)与烯类化合物的双键加成而得到,如所述的脂环族环氧树脂地坪和环氧化烯烃类树脂。
